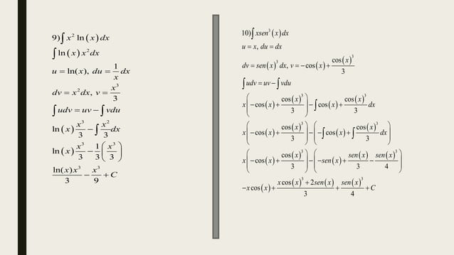
Integrales indefinidas integral De 5dxx^4 youtube Template




You need a modern browser try chrome, to view this.

Background image: Hide Show

View Larger Image Image Credit: youtube.com






Try and sketch some of thesePilgrim, Rose, Campers, Cove, Crazy quilt, Yo-yo, Catamaran, Hot tub, Bow and arrow, Bag lady, view more ideas


please wait, the page is loading...

More Sketches

Take a peek at some of the sketches created by our users, are you a sketchite?

anonymous
anonymous
sketch #5219 Zayn Malik by Amila Madhushanaka


anonymous
anonymous
sketch #4934 Nami-Ki Roberto Castro Colimil


anonymous
anonymous
sketch #21243


anonymous
anonymous
sketch #2027


anonymous
anonymous
sketch #5249 Adele - Skyfall by Mert Arda Yiğit


anonymous
anonymous
sketch #4221 Moi.


anonymous
anonymous
sketch #2969


anonymous
anonymous
sketch #280


anonymous
anonymous
sketch #1695


anonymous
anonymous
sketch #4882 Monsters University by John Davis


anonymous
anonymous
sketch #4520


anonymous
anonymous
sketch #3378


anonymous
anonymous
sketch #4383 4383


anonymous
anonymous
sketch #4970


anonymous
anonymous
sketch #389


anonymous
anonymous
sketch #5267


anonymous
anonymous
sketch #5115


anonymous
anonymous
sketch #1287 No smoke


anonymous
anonymous
sketch #5156 Angry Bird by Roberto Castro Colimil


anonymous
anonymous
sketch #3999 Deadmau by Speeð Üp Säm


anonymous
anonymous
sketch #4976


anonymous
anonymous
sketch #3360


anonymous
anonymous
sketch #5307


anonymous
anonymous
sketch #5150 Regina from Dino Crisis by Hsien-Ying Hsieh


Raisa Mahmud
sketch #2058


anonymous
anonymous
sketch #894 hmmm


anonymous
anonymous
sketch #5127 Captain America by Mark Phillips


anonymous
anonymous
sketch #895

tomskiintegrales indefinidas integral coloring